5630福彩网在无结薄膜晶体管领域取得重要进展
最近国外科研人员报道了一种新型的无结纳米线晶体管(Nature. Nanotechnology. 5, 225 (2010))。这种晶体管源极和漏极与沟道区之间没有结的存在(junctionless)。相比传统的结型晶体管,无结晶体管的源极、漏极与沟道共用一根重掺杂的硅纳米线,从而大大简化了传统器件的制备工艺并降低了器件的制作成本。遗憾的是,这种无结晶体管通常都是基于多栅的非平面硅纳米线器件结构,工艺上实现起来还需要在绝缘硅衬底(SOI)上利用电子束光刻(EBL)来制作硅纳米线。到目前为止还没有推广到低成本氧化物半导体和薄膜晶体管。
5630福彩网所属新能源所的万青研究员课题组首次在氧化物体系中制备出高性能的无结共平面栅薄膜晶体管。只要简单地控制磁控溅射ITO的薄膜厚度,就可以一次性完成晶体管的源极、漏极、沟道和栅极的沉积,实现了真正意义上的无结共平面栅薄膜晶体管。

图1:(a)无结共平面栅薄膜晶体管结构示意图 (b)器件的透光率以及光学显微照片
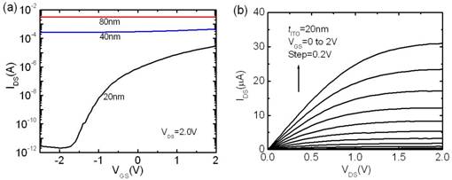
图1(a)显示了无结透明共平面栅薄膜晶体管的制备工艺图。图1(b)显示了器件的透光率以及测试过程中的光学显微照片。在可见光波长范围内(400nm-700nm),该无结共平面栅薄膜晶体管的透光率达到了80%。图2显示了具有不同ITO薄膜厚度(20nm,40nm,80nm)的无结透明共平面栅薄膜晶体管的转移曲线和输出曲线。结果表明,当ITO薄膜厚度减小到约20nm时,无结薄膜晶体管显示出良好的栅压调控电流的能力。该器件工作在耗尽型模式下,亚阈值斜率为174mV/dec,电流开关比高达1.3×10的7次方。有关结果发表在应用物理快报上,【Applied Physics Letters, 99, 193502(2011)】

图2:(a)不同ITO薄膜厚度(20nm,40nm,80nm)的无结透明共平面栅晶体管转移曲线
(b)ITO厚度为20nm的无结透明共平面栅晶体管输出曲线
(新能源所)