宁波工研院在全固态锂电池固体电解质材料方向取得系列进展
传统锂离子电池采用的有机电解液易挥发、易燃等问题是引起锂离子电池安全问题的关键因素。采用固体电解质代替有机电解液是解决大容量锂二次电池安全问题的根本途径。锂离子固体电解质是全固态锂电池的核心组成之一,其作为锂离子传输导体,在充放电过程中实现锂离子快速迁移。因此,电解质材料的理化特性直接决定了固态电池性能的发挥,因此,该方向一直以来都是固态电池领域的研究重点。
近年来,宁波工研院所属新能源技术所全固态锂电池研究团队,在高锂离子电导率二元系、三元系硫化物固体电解质以及有机-无机复合电解质方面取得了系列进展。在二元硫化物电解质研究方面,该团队科研人员以Li3PO4掺杂70Li2S·30P2S5 二元硫化物体系引入多种离子缺陷协同增强思路,发展了一种室温电导率达到1.87×10-3 S cm-1的固体电解质材料,图1(a)。由其构建的全固态电池In-Li/70Li2S·29P2S5·1Li3PO4 /LiCoO2首次放电容量提高到108 mAh·g-1,比未掺杂全固态电池In-Li/70Li2S·30P2S5 /LiCoO2的首次放电容量提高超过20%,图1(b)。相关研究成果在 J. Power Sources (2015, 284, 206-211) 发表。
理论计算结果显示75Li2S·25P2S5 二元硫化物是所有硫化物固体电解质材料体系中对金属锂最稳定的材料,但其室温离子电导率较低,为了解决这一问题,研究团队尝试采用硫位氧掺杂对75Li2S·25P2S5进行改性,固体电解质的室温电导率提高到8×10-4 S cm-1,属于该材料体系目前文献报道的领先水平之一,图1(c)。同时,该电解质对金属锂负极确实表现出了优异的稳定性,图1(d),使采用金属锂作为负极材料发展高能量密度全固态锂电池成为可能。由其构建的全固态锂电池Li/75Li2S·24P2S5·1P2O5/LiCoO2室温首次放电容量达到130.9 mAh g-1,并实现30周循环后容量保持率维持在85.2%。目前该研究成果已被美国电化学会旗下核心期刊J. Electrochemical Society (2015) DOI: 10.1149/2.0311602jes 录用,并已申请相关发明专利(201310535524.6; 201510585679.X)。

图1 二元硫化物电解质性能研究
在三元硫化物固体电解质研究方面,团队科研人员通过分别制备Li10GeP2S12 (LGPS)和 Li3.25Ge0.25P0.75S4 两种三元硫化物电解质,其室温电导率分别为 8.27×10-3 S cm-1 和 2.03×10-3 S cm-1,图2(Ⅰ),用以系统研究锂离子电导率对固态电池性能的影响机制。尝试采用LiCoO2正极材料构建全固态锂电池,在室温0.1C条件下,高离子电导率能够显著提高正极材料的放电容量,图2(Ⅱ),但对电池的循环性能影响不明显,图2(Ⅲ),从而可以得出结论:固体电解质的离子电导率是固态电池能量密度的最重要影响因素。相关研究成果已发表在Solid State Ionics (2015, 274, 8-11),并对其成型技术申请了相关发明专利(CN201510009660.0)。

图2 三元硫化物电解质性能研究
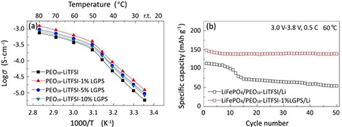
在无机-有机复合固体电解质研究方面,团队科研人员将超高锂离子电导率三元硫化物材料LGPS作为活性填料对PEO聚合物锂盐体系进行改性。研究结果表明,仅仅1%LGPS的添加就可以大幅度提高PEO电解质体系的锂离子电导率,图3(a),并有效拓宽电化学窗口和提高锂离子迁移数,同时具有比较好的对锂稳定性。由该电解质构建的全固态锂电池LiFePO4/PEO18-LiTFSI-1%LGPS/Li 在60 oC,0.5C条件下,循环50周后电池容量保持率达到92.5%,图3(b)。相关研究成果已发表在J. Power Sources (2016, 301, 47-53)。

图3 复合电解质的性能研究
此外,团队成员对传统锂离子电池隔膜材料也进行了表面改性研究,并取得了一系列的技术成果,相关技术已申请发明专利 (CN201510042175.3; CN201510042479.X; CN201510042148.6)。
上述研究工作得到了中科院纳米先导专项(XDA09010201)、国家高技术研究发展计划(863计划)(2013AA050906)、国家自然科学基金面上项目(51172250)等项目的支持。
(新能源所 陈少杰)