5630福彩网在生物基聚合物微孔膜制备及改性方面取得研究进展
传统石油基聚合物膜材料在其服役周期完成后,既难再生、回收又难降解处理,从而造成环境污染压力。生物基聚合物微孔膜有望解决这一问题。在一次性水深度过滤膜、血液净化及污水处理兼碳源缓释膜方面具有应用前景。中科院5630福彩网刘富研究员带领的液体分离与净化团队近年来系统开展了生物基聚合物微孔膜的可控合成制备及应用研究。针对聚乳酸微孔膜的结构控制及制备方面已经制备了梯度结构的微孔膜(Journal of Membrane Science 2015, 478, 96-104),及表面肝素化/类肝素化改性微孔膜。如通过多巴胺固定肝素(Journal of Membrane Science 2014, 452, 390-399)、表面APTES(RSC Advances, 2016, 6, 42684-42692)固定肝素改善其表面相容性,通过表面两性离子化(Journal of Membrane Science 2015, 475, 469-479)、表面PEG化(RSC Advances 2015, 5, 107949-107956, ACS Applied Materials & Interfaces 2015, 7, 17748-17755)改善聚乳酸微孔膜的亲水及血液相容性。
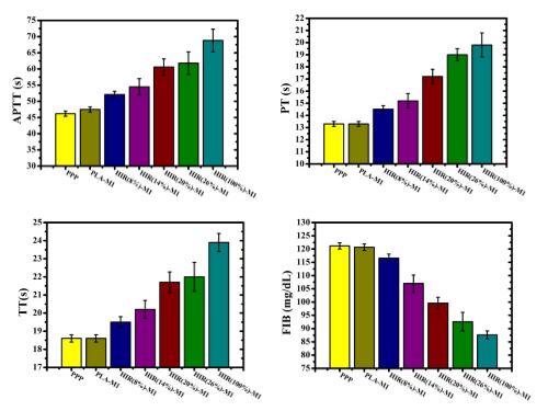
聚乳酸特别是薄壁(如透析膜壁厚40微米)中空纤维膜对耐热具有更高要求,然后在快速溶液相转化过程中,难以实现结晶度提高。针对此问题,我们发展了一种界面交联诱导结晶技术解决了聚乳酸微孔膜的结晶及耐热瓶颈问题。具体在聚乳酸微孔膜表面通过基于硅烷偶联剂的嵌段共聚物PVP-VTES预聚物的界面交联聚合,诱导聚乳酸发生结晶,结晶度可提高到35%,从而将耐热温度提高到100度,大大提高其尺寸及微结构稳定性,解决了其干燥及灭菌问题,界面诱导机理及耐热结果如图2所示。相关工作发表在RSC Advances 2016, 6, 20492-20499。为了进一步调控聚乳酸微孔膜的表面微孔结构,提高其表面微孔分布均一性及尺寸,课题组通过β环糊精生物基致孔剂结合界面交联,制备了具有超亲水特性的聚乳酸超微滤膜,表面微孔成均匀圆形分布,相关工作发表在Journal of Membrane Science 2016, 513, 166-176。界面交联可以在预聚物合成时引入具有反应性的环氧官能团如GMA,从而将三组分共聚物通过硅化学的界面吸附溶胀交联固定在膜表面,进一步的通过共价键合将肝素负载在膜表面,从而同步提高了膜的亲水性、耐热性以及血液相容性,表面肝素化是提高血液相容性的主要因素。该工作发表在ACS biomaterials science & engineering(DOI: 10.1021/acsbiomaterials.6b00413),如图1所示。除了表面肝素化相容性改善,我们制备了一种天然生物分子水蛭素,并通过氢键结合方式将其固定在经过界面交联改性的聚乳酸微孔膜表面,从而不改变水蛭素分子的抗凝活性,通过系统的凝血四项(APTT、PT、TT、FIB)、血小板黏附以及补体激活特性综合分析,提高了聚乳酸微孔膜的血液相容性,具有良好的透析性能,模拟透析实验(模拟血液和透析液的流量分别设定为100 mL/min、300 mL/min)表明其对小分子(尿素,79 mL/min;肌酐,74 mL/min)以及中分子(溶菌酶,34 mL/min)有害物质具有相对较高的清除率。相关工作发表在Journal of Membrane Science(http://dx.doi.org/10.1016/j.memsci.2016.10.027),如图2和3所示。
以上工作得到了中科院青年创新促进会(2014258)和国家自然科学基金(51473177,51273211)的大力支持。


图1界面交联诱导聚乳酸微孔膜结晶及肝素化机理

图2 氢键结合水蛭素聚乳酸微孔膜的凝血四项性能

图3水蛭素结合聚乳酸微孔膜模拟透析性能
(高分子事业部 刘富)