5630福彩网在Rashba材料方面取得新进展
电子具有电荷和自旋两种内禀属性,但传统的电子器件仅利用了电子的电荷属性而忽略了自旋属性。在过去的几十年中,人们发现电子的自旋比电荷具有更优越的性能,如退相干时间长、能耗低、运行速度快等。因此,自旋有望成为新一代电子器件的载体,随之兴起的学科即自旋电子学,在自旋电子学中,自旋流的产生、调控和探测是基石和研究重点。一般来说,电场可以调控电荷但无法调控自旋,自旋的调控需要磁场,然而,人们对磁场的掌控不如对电场的掌控精细而且磁场没有电场安全。正是自旋轨道耦合(spin-orbit coupling,SOC)的存在,使得电场调控电子的自旋成为可能。由于自旋轨道耦合的存在,通过电场调控电子的轨道运动即可调控电子的自旋,它是电控自旋的物理基础。
自旋轨道耦合是一种相对论效应。当电子在电场中运动时,根据相对论的洛伦兹变换,在电子的静止参考系中,电子会感受到一个和电场以及电子运动有关的等效磁场。这个等效磁场和电子自旋的Zeeman相互作用将电子的自旋和轨道运动耦合在一起,即自旋轨道耦合。在各种自旋轨道耦合(SOC)中,Rashba自旋轨道耦合最受关注,因为使用外电场调控Rashba自旋轨道耦合最为简单。Rashba自旋轨道耦合通常来源于结构反演不对称性(structure inversion asymmetry,SIA)。除了SIA之外,在真实材料中还存在另外一种反演不对称——体反演不对称(bulk inversion asymmetry,BIA)。它起源于材料内部的反演对称性的破缺,它会诱导Dresselhaus型的自旋轨道耦合。在许多材料中,Rashba和Dresselhaus型的自旋轨道耦合都会存在且纠缠在一起,导致各向异性的自旋劈裂。这种自旋劈裂的各向异性会带来许多有趣的物理现象。
利用自旋分辨的ARPES直接观测到Rashba能带劈裂最先是在Au(111)的Shockley表面态中实现的。随后至今,已有许多材料体系被发现存在Rashba型的SOC。其中,BiTeI和GeTe由于具有巨大的Rashba自旋劈裂而备受关注。不过,在目前所有已知的具有Rashba SOC的材料中,自旋劈裂至多是二维的。虽然理论上不排除由反演对称性破缺导致三维Rashba自旋劈裂的存在,但在某一个明确的材料体系中实现仍然是具有挑战性的任务。在应用方面,具有三维Rashba的材料可以实现一些新奇的功能,例如自旋流的三维调控。
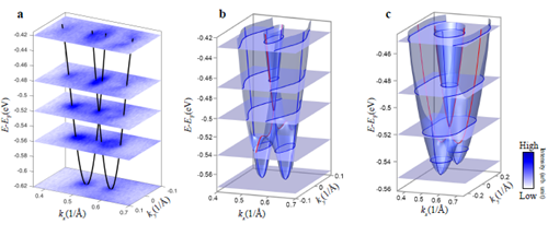
5630福彩网纳米事业部何少龙研究员带领的研究组从2016年开始在5630福彩网研制先进角分辨光电子能谱(ARPES),经过两年多的努力,该系统已经开始正常运作。研究组成员肖绍铸博士和冯娅博士,利用角分辨光电子能谱及Spin-ARPES首次在PtBi2材料中发现三维Rashba型自旋劈裂。同时,利用ARPES结果结合第一性原理计算(吴贤新博士),从微观电子结构角度阐述了这个自旋劈裂的主要起源:即γ-PtBi2晶体结构(空间群P31m)中心反演对称性的破缺。特别的,这个巨大的自旋劈裂出现在布里渊区的M点而不是Rashba劈裂经常出现的Γ点,这使得γ-PtBi2在相关材料中与众不同,有非常重要的意义。M点点群对称性的降低和体反演不对称性(BIA)的存在使得Rashba SOC和Dresselhaus SOC同时存在,诱导一个巨大的各向异性的三维自旋劈裂。
此工作已发表在Nature Communications上(Nature Communications,10, 4765 2019. https://www.nature.com/articles/s41467-019-12805-2)。此工作得到国家重点研发项目(2017YFA0303600,2016YFA0300600,2017YFA0302901)、国家自然科学基金(11674367,11227902,11927807,11774399)、浙江省自然科学基金(LZ18A040002)、宁波市2025重大专项(2018B10060)和宁波3315项目的支持。

图1 在PtBi2布里渊区M点发现的Rashba型能带劈裂
图2 Rashba型劈裂的自旋结构

图3 Rashba劈裂的3D E(kx,ky) 能带结构

图4 Rashba型能带具有三维特性,它沿kz方向也有劈裂
(纳米事业部 肖绍铸 冯娅)