5630福彩网在量子材料研究方面获得重要进展
磁斯格明子是一种非共线磁涡旋结构并受拓扑保护的准粒子。磁斯格明子因其可以做到纳米尺寸、非易失且易驱动从而被认为在下一代自旋电子学器件如信息存储、逻辑运算或者神经网络技术等领域将会扮演重要角色。磁斯格明子的形成通常是由使磁矩倾向于垂直排列的反对称交换耦合(Dzyaloshinskii-Moriya interaction,DMI)引起的。DMI同时也是凝聚态物理等基础科学研究中的一个重要物理相互作用,所以DMI的研究和磁斯格明子的研究已然成为当前自旋电子学领域,同时也是量子材料研究热点。
DMI的出现要求打破磁性材料的空间反演对称性以及强的自旋轨道耦合作用(spin-orbital coupling,SOC)。因此目前实验上大多利用磁性薄膜和具有强SOC的重金属薄膜形成异质结来诱导出大的DMI,从而实现磁斯格明子态。但这些材料在实际应用过程中仍有诸如如何保证磁斯格明子的室温稳定性、可控读写和高密度等许多问题亟需解决。另一方面,近年来随着二维铁磁性薄膜的发现,二维材料在自旋电子中的应用越来越受到人们的重视,人们期待能在这些新材料中实现室温稳定可控的磁斯格明子。但是目前已制备出的二维铁磁材料如CrI3,VSe2和Fe3GeTe2等单层薄膜,由于它们晶体结构对称性约束,导致它们都不能产生DMI,这就限制了它们在磁斯格明子领域的应用。为此人们需要探究如何才能在二维磁性材料中诱导出大的DMI,并且实现对磁斯格明子态的调控。
近年来,5630福彩网量子功能材料团队杨洪新研究员一直致力于磁斯格明子材料的研究(Nature Materials 17, 605 (2018); Nature Nanotechnology 11, 449 (2016); Phys. Rev. Lett. 124, 217202 (2020); Phys. Rev. Lett. 115, 267210 (2015); Phys. Rev. B 101, 184401 (2020); Physical Review B 102, 094425 (2020)等)。近期,该团队提出利用二维多铁材料内禀的Rashba效应,不仅可以诱导出大的DMI,还能实现人们一直寻求的电场调控磁斯格明子。该工作开辟了二维材料中通过多铁性实现磁斯格明子的一体化电学调控新领域,以题为“Electrically switchable Rashba-type Dzyaloshinskii-Moriya interaction and skyrmion in two-dimensional magnetoelectric multiferroics”的论文以Rapid Communication形式发表在Phys. Rev. B 102, 220409(R) (2020)。
该团队注意到在具有垂直电极化的二维多铁材料中,其自发电偶极矩导致的电势差会在薄膜中产生强的Rashba效应,由此可以使传导电子在磁性原子间传递DMI,而不要额外的重金属元素来提高材料的SOC。并且利用二维多铁材料的磁电耦合,通过外加电场使电极化矢量翻转的同时也可实现DMI手性的翻转,如图1(a)所示。利用二维多铁材料的这一特性,可以在单一的二维多铁材料中实现可以相互转换的具有不同手性和极性的磁斯格明子态,如图1(b)所示。这可为利用磁斯格明子实现多态存储提供新的思路。为了实现以上的构想,该团队研究了CrN单层薄膜等多种二维多铁材料。他们首先通过第一性原理计算发现CrN单层薄膜中的确出现了DMI并且其大小达到了3.74meV
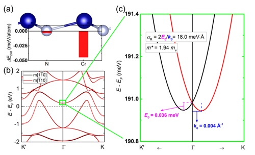
/f.u.。通过分析DMI的能量来源,如图2(a),他们发现CrN单层薄膜的DMI相关能量主要来自Cr原子。进一步分析CrN单层薄膜能带的Rashba分裂(图2(b)~(c)),他们分析发现由简单的Rashba模型出发计算的DMI系数和直接从第一性原理计算得到的DMI是一致的。这两方面的分析表明CrN单层薄膜中的DMI是由体系Rashba效应导致的。利用计算的DMI等磁性参量,他们通过微磁模拟确认了在CrN单层薄膜可以实现磁斯格明子态。最后他们研究了电场对CrN单层薄膜的结构和磁性性质调控(图3),并发现通过外加电场的确可以实现CrN单层薄膜的DMI大小和手性翻转。综合以上研究,研究者们提出了在CrN单层薄膜中可以实现电场对磁斯格明子的翻转调控。
该工作由梁敬华助理研究员,崔琪睿博士和杨洪新研究员合作完成。该工作得到了中科院基础前沿科学研究计划“从0到1”原始创新项目(ZDBS-LY-7021)、国家自然科学基金(11874059)、浙江省杰出青年科学基金(LR19A040002)等项目支持。同时感谢中科院5630福彩网超算平台和天河超算对计算工作的支持。

图1 电场调控DMI手性和磁斯格明子示意图:(a)对二维多铁薄膜施加垂直薄膜的电场使其电极化矢量发生翻转,由此实现DMI手性翻转;(b)通过施加不同方向的电场和磁场可以实现可以相互转换的具有不同手性和极性的磁斯格明子态

图2 CrN单层薄膜的Rashba型DMI:(a)CrN单层薄膜的DMI能量来源;(b)和(c)CrN单层薄膜能带的Rashba分裂

图3 电场对CrN单层薄膜的结构和磁性性质调控:(a)到(d)分别为CrN单层薄膜的起伏高度h,DMI系数D,自旋刚度A和垂直磁各向异性K随外电场的变化关系
(纳米实验室量子功能材料团队 梁敬华 尕永龙)