5630福彩网在两亲性糖基化衍生物的可控合成与多级超分子自组装凝胶化方面取得新进展
糖基化水凝胶含有能够参与和介导细胞命运的活性糖单元,具有和细胞外基质类似的结构和功能,为三维细胞培养、组织工程、药物递送等提供了一个仿生材料平台,具有重要的医学应用前景。两亲性糖基化衍生物在水溶液中会发生超分子自组装,形成交联网络结构,是制备糖基化水凝胶的有效方法。然而,大多数糖基化缀合物的合成均涉及繁琐的保护-脱保护过程,可控性不高,自组装模式单一,限制了糖基化水凝胶材料的进一步发展。
近日,5630福彩网生物医用高分子材料团队陈静副研究员和法国国家科学研究中心植物大分子研究中心S. Halila研究员(中科院PIFI国际访问学者)等科研人员报道了一种合成两亲性糖基化衍生物的新方法,通过精心设计疏水段的结构,获得了具有多级超分子自组装纤维状和囊泡状的糖基化水凝胶(图1)。
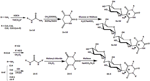
科研人员提出了一种合成糖基化巴比妥酸衍生物的新方法,无须借助保护-脱保护过程,可对糖环进行疏水段修饰(图2)。首先,合成了具有不同碳链长度的单取代(2a-2d)和双取代巴比妥酸(2B-E),进而通过与糖环之间的Knoevenagel缩合反应,合成了单尾葡萄糖基巴比妥酸盐(3a-3d)、单尾麦芽糖基巴比妥酸盐(4a-4d)和双尾葡萄糖基巴比妥酸盐(4B-E)。所得两亲性糖基化衍生物在水溶液中发生超分子自组装。结果显示,3a-d在加热条件下也不溶于水,4a-d在室温条件下均溶于水。科研人员还发现,降低水溶液的pH或者加入钙离子,能够诱导单尾麦芽糖巴比妥酸盐(4c,4d)自组装形成纤维状水凝胶(图3),其驱动力来自于巴比妥酸盐质子化,或者钙离子与巴比妥酸之间的配位作用。为了探究在强酸条件下的凝胶化过程,以4c为例,通过不同pH下的紫外吸收光谱发现,巴比妥酸存在烯醇式和酮式的相互转变,在强酸条件下,以酮式结构为主,导致凝胶化,并计算出PKa等于4.78。为了进一步探究凝胶化机制,科研人员用乙基取代巴比妥酸的仲氨氢原子,合成了4A进行对照,结果发现4A不能凝胶化,这表明仲氨基团作为一个优良的氢的供体,在自组装过程中起到关键作用。4B-E的测试结果显示,4C和4D在纯水中自组装形成囊泡水凝胶(图3)。从纤维到囊泡的转变依赖于不同的分子模型,单尾衍生物可形成蠕虫状纤维,双尾衍生物则趋于形成囊泡。同时也表明,仲氨基团在自组装过程中固然重要,但是增大分子的疏水性也能达到凝胶化目的。
该工作所提出的两亲性糖基化衍生物合成新方法,能够调控所得糖基化巴比妥酸衍生物的多级超分子自组装凝胶化过程,获得具有纤维和囊泡堆叠的有序结构,为制备和应用具有有序多级自组装微结构的糖基化水凝胶提供了一种新的合成工具。
该工作以“Hierarchical Self-Assembly of Amphiphilic β-C-Glycosylbarbiturates into Multiresponsive Alginate-Like Supramolecular Hydrogel Fibers and Vesicle Hydrogel”为题发表于化学领域知名期刊Chemistry – A European Journal (DOI: 10.1002/chem.202102950)。博士生姚顺为论文的第一作者,陈静副研究员和S. Halila研究员为通讯作者。该工作得到了中科院PIFI国际人才计划(2019VBA0016)、国家自然科学基金(51803227)、宁波市科技创新2025重大专项(2019B10063)、医用植介入材料浙江省工程研究中心、浙江省生物医学材料技术与应用国际科技合作基地等的资助。

图1 糖基化巴比妥酸衍生物的结构设计与多级超分子自组装

图2 糖基化巴比妥酸衍生物的合成路线

图3 在酸性和钙离子条件下4c、4d与在纯水条件下4C、4D的电镜图
(医工所 陈静)