5630福彩网在二维磁体中发现具有对称性保护的各向异性Dzyaloshinskii-Moriya相互作用
磁斯格明子是一种拓扑保护实空间的非共线磁涡旋准粒子,具有纳米尺寸、结构稳定、易调控、驱动阈值电流小等诸多优点,有望成为下一代高容量、高速读写、低功耗、非易失性信息存储及逻辑运算的信息载体。而磁斯格明子的形成、稳定和运动和一个磁相互作用(反对称交换耦合又称Dzyaloshinskii-Moriya相互作用(DMI))紧密关联,后者作为一个基本磁相互作用,又有着深刻的内禀物理性质,最近20年受到了基础科学和应用科学研究领域的广泛关注。与此同时,近年来发现的二维范德华磁体也因其独特的物理特性,获得了科学家的广泛关注。5630福彩网杨洪新研究员带领的量子功能材料团队通过理论研究并与实验团队合作证明,磁斯格明子、双半子和手性畴壁均可以通过各向同性DM相互作用在具有Cnv点群的二维本征磁体(如Janus磁体和单层多铁材料)以及基于二维磁体的范德华异质结构中实现[Phys. Rev. B 101, 184401(2020), Editors’ Suggestion; Phys. Rev. B 101, 184401 (2020); Phys. Rev. B 102, 220409(R) (2020); Physical Review B 103 (10), 104410 (2021), Editors’ Suggestion; Phys. Rev. Res. 3, 043011 (2021)]。然而在二维磁体中的各向异性DM相互作用以及反铁磁拓扑磁结构尚未有过报道。
近日,杨洪新研究员带领团队在二维磁体中各向异性DM相互作用与拓扑磁结构研究中取得重要进展,相关工作以“Anisotropic Dzyaloshinskii–Moriya Interaction and Topological Magnetism in Two-Dimensional Magnets Protected by
Crystal Symmetry”为题发表于Nano Letters 22, 2334 (2022)。
团队研究发现具有
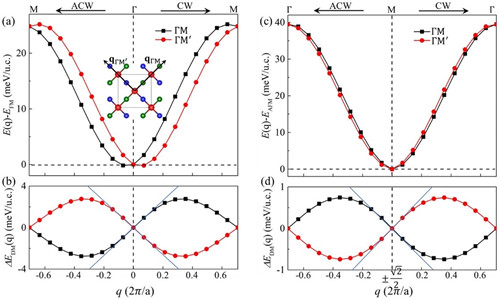
空间群的二维磁性材料AX2(A:3d过度金属元素;X:第四主族和第五主族元素)天然具有对称性保护的各向异性DM相互作用。AX2具有中心反演对称性破缺与S4z对称性,这使得x与y方向上最近邻磁性元素间的DM相互作用必然具有相同的大小与相反的手性。团队从二维材料数据库中筛选出了23种满足对称性要求的候选磁性材料,并利用团队独立发展的DM相互作用算法(超原胞短自旋波DMI算法与自旋螺旋态广义布洛赫定理DMI算法),证明了这23种候选材料中均存在由对称性保护的各向异性DM相互作用,如图1及图2所示。团队同时发现随着A类元素从V到Ni变化,材料会出现从铁磁基态到反铁磁基态的转变。进一步分析发现,材料体系的交换耦合由四面体晶体场导致的能级劈裂与3d电子排布共同决定。这一结果也意味着AX2体系为反铁磁拓扑磁结构研究提供了平台。更进一步的,基于第一性原理计算的磁相互作用,团队利用原子级自旋模型作微磁模拟揭示了在AX2材料家族中出现了各种新奇的拓扑手性磁结构,包括反磁斯格明子、反铁磁反斯格明子和反铁磁涡旋-反涡旋对,具体结果如图3所示。这一系列拓扑磁结构均可以在无外场辅助的情况下出现。特别是在单层MnBr2中出现了直径仅有6.8nm的孤立反铁磁反斯格明子。这一小尺寸的孤立拓扑磁结构有希望应用于下一代具有低功耗高密度特性的存算一体自旋电子学器件中。
综上所述,5630福彩网团队提出并证明了具有
对称性的单层AX2中存在晶体对称性保护的各向异性DM相互作用,并揭示了该材料体系中存在的诸多新奇铁磁/反铁磁拓扑磁结构。这一类材料可以使基于拓扑磁结构的自旋电子器件具有更简单的结构和更高的运行效率,为构建晶体对称性保护的DM相互作用和拓扑手性磁结构提供了崭新的思路与方法及材料储备。
该工作由崔琪睿博士研究生等在崔平研究员与杨洪新研究员共同指导下完成。研究工作得到中科院基础前沿科学研究计划“从0到1”原始创新项目(ZDBS-LY-7021)、国家自然科学基金面上项目(11874059、12174405)、浙江省自然科学基金(LR19A040002)、浙江省尖兵计划(2022C01053)、宁波市重大科技攻项目(2021000215)、北京凝聚态物理国家实验室开放课题重点项目(2021000123)等的支持。

图1 基于超原胞短自旋波DMI算法计算的AX2体系中DM相互作用

图2 基于自旋螺旋态广义布洛赫定理DMI算法计算的AX2体系中DM相互作用

图3 基于第一性原理计算的磁相互作用而模拟的实空间中拓扑磁结构
(先进纳米材料与功能器件实验室 崔琪睿)