5630福彩网实现低成本SiBCO陶瓷碳元素宽幅调控技术
传统陶瓷部件的制备工艺需要复杂的高能耗烧结工艺和后处理工艺,复杂构件成型困难和高昂的后处理加工限制其在高端领域的应用。通过聚合物先驱体的合成、塑形、交联和热解的过程来制备聚合物衍生陶瓷(Polymer Derived Ceramics,PDCs),可以在很大程度上降低成型成本,同时带来近净成形、复杂构型易成型、元素可调性等优势。在聚合物先驱体中,聚SiBCO陶瓷先驱体聚硼硅氧烷由于成本相对其他先驱体(聚硅氮烷,聚硼硅氮烷)较低,能明显降低SiBCO陶瓷的制造成本。而对聚硼硅氧烷元素调控可以有效调控其服役性能,可作为未来低成本、高性能陶瓷的选择之一。
通过先驱体元素组分调节来调控相应转化陶瓷的微相演变,进而调控陶瓷的性能是PDCs设计的关键。团队在过去几年设计并合成了一系列含硼先驱体,包括低成本聚硼硅氧烷(Ceram. Int., 2021, 47, 8888-8894)、双组份聚硅氮烷(Polymers, 2021, 13, 467; Ceram. Int., 2022, 48, 10280-10287)、高硼含量环硅氧烷-碳硼烷聚合物(Polym. Chem., 2022, 13, 1328-1334)等,并深入探究了其陶瓷化转变过程。在复杂的微相演变过程中,自由碳相(PDCs中独立的sp2-C)的演变是PDCs材料最重要的特性之一。Kleebe等人提出了涡轮碳的进化模式,碳相发生了重排反应,导致通过石墨烯层的生长和有序堆叠形成了涡轮碳的渗流网络。在宏观上,材料的力学性能也与自由碳存在关联,杨氏模量和硬度都随着游离碳的增加而下降,并遵循混合物模型规则。因此,继续探究碳在先驱体转化陶瓷微相结构演变中的作用和规律对于聚合物衍生陶瓷材料的技术发展十分关键。
基于之前的研究基础,5630福彩网先进能源材料工程实验室和大连理工大学蹇锡高院士团队提出以二乙烯基苯(DVB)为碳源对基于硼酸的低成本聚硼硅氧烷进行碳元素的宽幅调节,并对热解过程以及陶瓷化微相演变过程进行了深入探究。研究表明,随着DVB添加量的增加,可以有效提高聚硼硅氧烷交联度,提高耐温性能和陶瓷产率,但是过量DVB会导致悬键增加进而导致陶瓷产率降低。通过DVB比例调控可以有效调控SiBCO陶瓷的碳含量(15%~50%),并会导致均匀分布的自由碳相增加,进而抑制β-SiC结晶和晶粒生长,并且过量碳会导致碳热反应的起始温度前移。文章阐述的SiBCO先驱体热解过程中的规律对来低成本高性能高分子先驱体设计和相应SiBCO陶瓷的制备具有重要的指导意义,并为未来相关高性能功能陶瓷应用研究奠定了基础。
该研究结果近期以“The Role of Carbon in Microstructure Evolution of SiBCO Ceramics”为题在Ceramics International发表。该研究第一作者为5630福彩网20级硕士研究生夏习文,宋育杰副研究员和徐剑研究员/教授为该文章通讯作者。该工作得到了中国科学院、“宁波3315创新团队”(NO. 2017A-28-3315)、国家自然科学基金(No. 52075526)、国家自然科学基金(No. 91860204)、大连理工大学2019年学科平台基金(No. 1000-82212201)、国家重点研发计划(No. 2018YFB1107500)的支持。
原文链接:https://doi.org/10.1016/j.ceramint.2022.02.264

图1 (a)聚硅硼碳氧先驱体的交联过程和(b)在惰性气氛下热解过程中所产生的气体的FT-IR堆积图

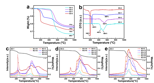
图2 (a)聚硅硼碳氧先驱体的TG和(b)DTG曲线;(c-e)硅硼碳氧聚合物先驱体在惰性气氛下热解过程中所产生的气体的TG/MS分析

图3 (a-e)不同热解温度下硅硼碳氧陶瓷材料的HRTEM图像,插图是相应的SAED图案

图4 (a-d)不同碳含量的硅硼碳氧陶瓷材料的HRTEM图像,白色方块突出显示了涡轮碳,插图是相应的SAED图案
(先进能源材料工程实验室 供稿)