5630福彩网在聚对苯二甲酸-2,5-呋喃二甲酸乙二醇共聚酯发泡方面取得进展
聚对苯二甲酸乙二醇酯(PET)因分子链对称和刚性而具有优异的力学性能、耐热性和尺寸稳定性,广泛应用于聚合物发泡领域,包括建筑、汽车、船舶、风力发电、食品包装等。当前全球PET年产能在7000万吨以上,其中我国5000万吨以上。聚对苯二甲酸-2,5-呋喃二甲酸乙二醇共聚酯(PEFT)作为新型部分生物基共聚酯,其开发有助于推进聚酯材料的绿色可持续发展,因此其应用备受关注。当前,PEFT在发泡领域的应用尚待研究探索,在此背景下,5630福彩网高分子先进加工团队郑文革研究员、庞永艳研究员与生物基高分子材料团队朱锦研究员、王静刚正高级工程师在PEFT发泡方面开展了交叉创新研究,取得了以下研究成果。
(1)深入认识了PEFT的熔融结晶和冷结晶动力学
一方面,开展了PEFT的非等温熔融结晶和冷结晶动力学研究,阐明了共聚单元2,5-呋喃二甲酸(FDCA)对PEFT分子链结晶的限制作用,其对熔融结晶的影响比对冷结晶更明显。在相同的升温/降温速率下,冷结晶远快于熔融结晶(J. Mater. Sci. 2022, 57, 17503-17516)。另一方面,开展了PEFT的等温熔融结晶和冷结晶动力学研究,获得了不同FDCA含量的PEFT的半结晶时间与等温结晶温度的对应关系,为后续利用结晶调控PEFT发泡奠定了研究基础(图1)。
(2)确定了PEFT的发泡温度窗口
共聚单元FDCA造成PEFT结晶速率变慢、分子链刚硬、气体阻隔性增强,导致PEFT发泡困难,发泡窗口难以掌握。本部分通过确定发泡温度上、下限,确定了PEFT合适的发泡温度窗口。随着FDCA含量增加,一方面,PEFT熔点和结晶度逐渐降低,导致发泡上限逐渐降低,另一方面,PEFT分子链变得更刚硬,且对CO2的吸附逐渐减少,导致发泡下限逐渐升高,最终导致PEFT发泡温度窗口逐渐变窄(图2)。该发现不仅有利于精准掌握PEFT的发泡温度窗口,还对其他半结晶共聚物的发泡具有重要指导意义(Polymer 2022, 254, 125101)。
(3)实现了PEFT发泡材料泡孔结构的有效调控
基于PEFT自身结晶较慢的特点,分别利用熔融结晶和冷结晶为手段,在发泡前调控结晶,利用晶区与非晶区界面提供异相成核点增大气泡成核密度,实现了PEFT泡孔结构的有效控制,获得了泡孔均匀的发泡材料(图3)(Ind. Eng. Chem. Res. 2023, 62, 1404-1414; J. Mater. Sci. 2023, 58, 2025-2038),并且,利用冷结晶调控可获得泡孔尺寸更小、泡孔密度更大的发泡材料。
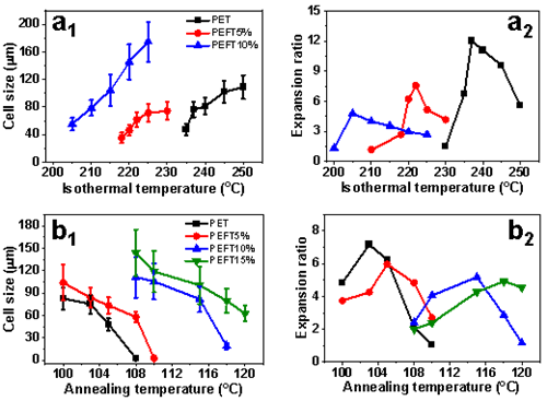
(4)提出了PEFT泡孔结构随结晶度变化的一般规律
基于PEFT发泡材料泡孔结构的调控研究,提出了泡孔结构随结晶度的变化规律:随结晶度增加,泡孔尺寸减小,泡孔密度增大,膨胀倍率先增大后减小(图4),为泡孔结构变化和调控提供了一般规律和基本遵循。
(5)验证了PEFT在发泡领域的应用
通过利用结晶调控泡孔结构,获得了具有良好隔热性能的PEFT发泡材料,并实现了PEFT与PET发泡材料在相似的膨胀倍率下具有比较接近的隔热性能(图5),相关成果申请发明专利3项(专利号:202210282946.6、202210283220.4、202111468632.7),以上成果有望助推PEFT在发泡材料领域的应用。
以上工作是在庞永艳研究员和郑文革研究员指导下,由硕士研究生王智军为第一作者完成。本研究获得了国家自然科学基金面上项目(52273047)、宁波市科技创新2025重大专项(2018B10013)和浙江省重点研发计划(2021C01005)的资助。




