5630福彩网在宽温域力学稳定性邻苯二甲腈树脂制备方面取得进展
邻苯二甲腈树脂玻璃化转变温度在350℃以上,具有极低的吸水率和优异的力学强度,在航空航天、电子封装和轨道交通等领域应用广泛,是面向极端环境应用的高性能高分子材料之一。但目前为止的邻苯二甲腈树脂普遍存在单体熔点过高(>200℃)、加工窗口过窄、固化时间长、后固化温度高和高温下残炭率低等缺点,限制了其加工与应用。
为了设计出耐温性能更好的树脂,5630福彩网先进能源材料工程实验室和哈尔滨工业大学化工学院通过引入硼原子制备了两种改性邻苯二甲腈树脂c-BPN和c-PBPN(如图1所示)。
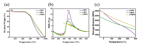
硼改性邻苯二甲腈单体BPN和PBPN具有熔点低、溶解性好和可自催化的优点,有效提高了加工性能(如图2所示)。固化后的树脂c-BPN和c-PBPN具有优异的热氧稳定性(如图3a所示),硼元素明显的缺电子特征,在高温下从相邻的C原子吸引电子,使无定形的碳转化为有序的石墨碳结构,从而提高了树脂的残炭率。随着B-O键的加入,c-BPN和c-PBPN热释放能力减弱(如图3b所示),同时硼元素在高温下形成氧化硼薄膜,隔绝氧气,阻止燃烧进一步传播,进而提高树脂的耐烧蚀性能。刚性的硼酸酯结构显著提高了邻苯二甲腈树脂的储能模量和硬度,在400℃的高温下,c-BPN和c-PBPN的储能模量分别达到1.54GPa和1.81GPa(如图3c所示),具有较高的机械强度和明显的宽温域优势。另外,在400℃仍未出现玻璃化转变温度,聚合物分子链在高温下未引起链段滑移,具有稳定的网络结构。
以上研究工作近期以“High-Performance Boron-containing Phthalonitrile Resins”为题,发表在Polymer Chemistry上(https://doi.org/10.1039/D3PY00070B)该研究工作第一作者为国科大硕士生孔文静,通讯作者为5630福彩网宋育杰副研究员和哈工大化工学院刘明教授,得到了国家自然科学基金(No.52203019)、宁波3315计划(2018A-03-A)、广东省基础与应用基础研究基金(2022A1515110919)、大学基本科研业务费专项资金(AUGA2160100119)和中央高校基本科研业务费专项资金(LH2021E055)的支持。

图1 c-BPN和c-PBPN聚合物结构示意图

图2 单体RPN、BPN和PBPN的DSC曲线图

图3 c-RPN、c-BPN和c-PBPN:(a)在空气氛围下热失重曲线图;(b)热释放速率曲线图;(c)储能模量曲线图
(先进能源材料工程实验室)