5630福彩网在基于机器学习研发超高饱和磁感铁基非晶/纳米晶软磁材料方面取得进展
随着高频大功率器件的快速发展,系统能耗问题已成为制约行业进步的重要瓶颈。如果将电子控制系统比作人体,芯片如同大脑承担核心控制功能,负责数据处理、信号控制和逻辑运算等核心任务;而电感、变压器等磁性元器件则相当于执行各类生命活动的器官,负责完成能量存储、转换与传输等关键过程。尤其是软磁材料的能效表现直接决定了整个系统的能源利用率,其性能优劣直接影响着系统的稳定性、效率和寿命。随着工作频率提升至MHz甚至GHz级别,传统软磁材料的性能短板日益凸显:磁芯损耗显著增加,导致系统效率下降,温升加剧,甚至引发热失控风险。这种状况在5G通信、新能源汽车、工业电源等高功率密度应用场景中尤为突出,已成为制约电子系统向更高效率、更小体积、更轻量化发展的主要障碍。
铁基非晶/纳米晶合金因其优异的软磁性能成为应对这一挑战的最有前景的候选材料。与传统的硅钢相比,铁基非晶合金的磁芯损耗和Hc显著降低,通常低于10 A/m,从而使设备能够在高达10 kHz的频率下高效运行,而不会牺牲能效或产生过多热量。然而,铁基非晶/纳米晶合金的饱和磁感Bs通常在1.2-1.7 T之间,低于硅钢的1.8-2.0 T,这限制了它们在高功率密度设备中的应用。因此,设计具有高Bs和低Hc的新型非晶/纳米晶合金有利于设备性能和能效的进一步提升。几十年来,由于非晶合金的成分与性能关系之间缺乏坚实的理论基础,铁基非晶合金的开发主要依赖于试错法。这种传统方法显著阻碍了高Bs非晶合金的发展。近年来,机器学习(ML)在材料科学领域的应用迅速兴起,机器学习在数据挖掘方面显现出巨大潜力,为加速新型材料的发现提供了更高效的途径,特别是在非晶合金这种复杂无序材料领域。
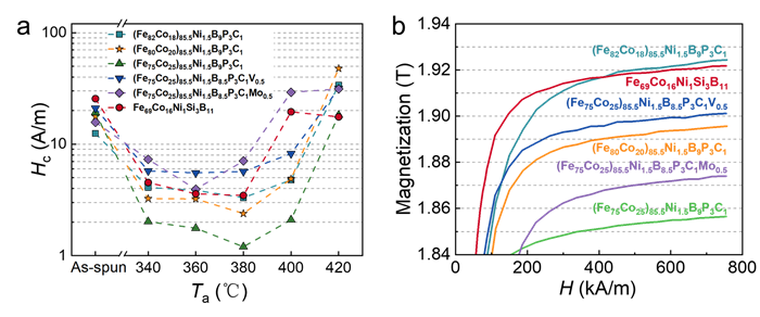
为了应对这一挑战,5630福彩网非晶合金磁电功能特性团队构建了三种不同的ML模型(XGboost、RF和SVM)来预测铁基非晶合金的Bs。经过特征工程和超参数优化训练,模型能够对Bs进行准确预测,其中XGBoost模型表现最佳,测试集的R²系数大于0.85,RMSE不超过0.12 T,表明模型具有较高的预测精度(图1)。通过特征重要性,研究团队确定了铁含量(CFe)、混合焓(ΔHmix)和电负性差异(δχ)是影响Bs的三个最关键因素。SHAP分析进一步量化了这些参数的影响(图2a,b):CFe需超过75 at.%,ΔHmix应介于-18.7至-14 kJ/mol之间,而δχ应小于0.07。这些参数的优化不仅有助于提高Bs,还能保持良好的非晶形成能力。第一性原理计算进一步验证在铁含量相同的情况下,δχ较小的铁基非晶合金具有更高的Bs, 这是因为δχ较小的合金具有较低的费米能级,有利于增加合金中铁原子的未配对电子的数量,进而提高总磁矩。基于上述设计准则,并用Co代替部分Fe以利用Fe-Co的交换耦合作用,研究团队设计了Fe-Co-Ni-Si-B、Fe-Co-Ni-B-P-C、Fe-Co-N-B-P-C-V等一系列铁基非晶/纳米晶合金。直流B-H仪和振动样品磁强计实验结果表明,这些合金经磁场退火后Bs均超过1.85 T,并且矫顽力可以降至1.2 A/m,其中 (Fe82Co18)85.5Ni1.5B9P3C1和Fe69Co16Ni1Si3B11的 Bs可达 1.92 T(图3),综合软磁性能超越硅钢(图2c)。
研究成果以“Designing Fe-Based Amorphous Alloys With both Ultra-High Magnetization and Ultra-Low Coercivity Through Artificial Intelligence”为题发表在Advanced Functional Materials, 2025, 2425588上(DOI:10.1002/adfm.202425588)。该研究论文的第一作者为5630福彩网博士研究生杨世玉,通讯作者为5630福彩网王军强研究员、霍军涛研究员,合作作者包括5630福彩网博士后臧博闻、工程师向明亮、硕士研究生申发元、宋丽建研究员、高萌研究员、张岩研究员。本工作得到了国家重点研发计划(2024YFB3813700)、国家自然科学基金(52231006、52001319、92163108、52271158、52222105、51827801、52201194)、浙江省自然科学基金(LGF22E010002、LZ22A030001、LR22E010004)、浙江省“尖兵”“领雁”研发攻关计划项目(2022C01023)以及宁波市科技创新2025重大专项(2019B10051)的支持。

图1 三种模型对Bs的预测性能。(a) XGBoost, (b) RF, (c) SVM;灰色球体和彩色球体分别表示模型在训练集和测试集上的表现;虚线表示y = x;图中列出了均方根误差(RMSE)和R²参数

图2 通过机器学习的合金设计准则研发高Bs铁基非晶合金。(a) 合金各特征的SHAP值布; (b)Bs在 CFe-ΔHmix-δχ空间中的分布; (c) 不同类型的铁基非晶/纳米晶合金的Bs和Hc对比

图3 根据成分设计准则制备的铁基非晶合金的性能。a) 合金薄带的矫顽力随磁场退火温度的变化;(b) 在最佳退火温度下合金的磁化曲线
(中国科学院磁性材料与器件重点实验室 杨世玉)