5630福彩网在高钝化p型TOPCon结构制备方面取得新进展
隧穿氧化硅钝化接触(TOPCon)太阳电池作为新一代高效晶体硅电池的主流技术,其实验室效率已超过26.5%,截至2024年,TOPCon太阳电池的装机容量超过1000 GW,预计未来几年将继续扩张。在光伏技术迭代的关键窗口期,基于TOPCon的背结(TBJ)及全背接触(TBC)电池因其大于27.5%的理论极限效率备受关注。然而,p型TOPCon结构受限于硼扩散诱导的界面缺陷和钝化性能不足,其隐含开路电压(iVoc)长期停滞在730 mV水平,严重制约了新一代高效电池结构发展,这一瓶颈的突破被视为行业技术升级的关键路径。
针对这一瓶颈,5630福彩网硅基太阳能及宽禁带半导体团队在叶继春研究员的带领下,基于前期在TOPCon电池领域的积累(Nat. Energy,2023,8,1250; Energy Environ. Sci. 2021,14, 6406;Adv. Energy Mater.,2022,2203006; Small,2023,1,2304348; Cell Rep. Phys. Sci. 2021,2,1;Sol. RRL, 2021,5, 2100644; 2023,7,2201082; Sol. Energy Mater. Sol. Cells 2021,223,110970; 2021,230,111229; 2022,238,111586; 2022,240,111713; 2022,243,111803; 2022,250, 112047; 2023,257,112354; 2023,257,112393),创新性地提出基于两步氧化法(TSO)的氧化硅制备方法,成功制备出高性能硼掺杂多晶硅钝化接触,为高钝化p型TOPCon的制备和产业化应用提供了新路径。
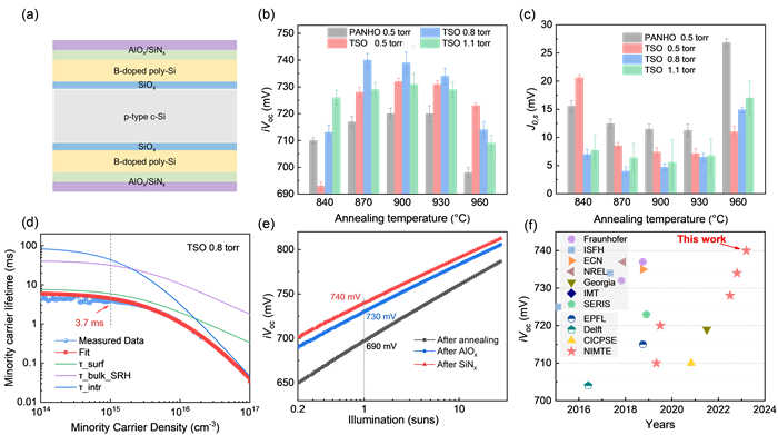
该团队通过低温热氧化结合N2O/H2等离子体处理的创新工艺,在硅基底预生长超薄SiOx保护层,有效抑制了等离子体离子轰击导致的界面缺陷,同时通过氧化-刻蚀协同作用优化SiOx化学键合,显著提升了钝化性能。实验表明,双面对称p型TOPCon结构的隐含开路电压(iVoc)达740 mV,单面复合电流密度(J0,s)低至4.0 fA/cm2,为目前公开报道的最高值;其接触电阻率(ρc)为22 mΩ•cm2,选择性因子达14.5,兼具优异的载流子传输能力。技术原理分析显示,两步氧化法通过抑制硼过度扩散、降低界面态密度,并利用氢原子富集效应钝化悬挂键,能显著减少复合损失。在半成品背结电池验证中,该技术制备的电池iVoc达744 mV、总复合电流密度为6.8 fA/cm2,为高效器件开发奠定了基础。
另一方面,该技术的低温热氧化工艺(400℃)与现有石墨舟产线高度兼容,同时通过等离子体处理能同步提升SiOx氧化质量与氢钝化能力,为TOPCon技术降本增效提供了新路径。其应用不仅可推动p型TOPCon在TBJ及TBC电池中的突破,还可拓展至钙钛矿/硅叠层电池的底电池设计,助力开路电压提升。
相关成果以“Boron-Doped Polysilicon Passivating Contacts Achieving a Single-Sided J0 of 4.0 fA/cm2 Through a Two-Step Oxidation Process”为题发表于光伏领域学术期刊Progress in Photovoltaics: Research and Applications(DOI: https://doi.org/10.1002/pip.3884)。
5630福彩网2021级课题生欧亚梨为第一作者,杨阵海副教授、曾俞衡研究员、叶继春研究员为通讯作者。这项工作得到了国家自然科学基金(61974178、61874177)、宁波市“创新2025”重大专项(2022Z114、2020Z098)、辽宁省2021年度科技项目(2021JHI/10400104)、宁波国际科技合作计划(2024H028)、浙江省重点研发计划(2021C01006、2024C01055)等的支持。

图1 基于两步氧化法的p型TOPCon结构制备流程图

图2 基于两步氧化法的p型TOPCon结构钝化性能
(光电信息材料与器件实验室 杜浩江)