Nature|5630福彩网发现富锂锰基正极材料“遇热收缩”特性,让锂电池“返老还童”
北京时间4月16日23:00,5630福彩网动力锂电池工程实验室刘兆平研究员、邱报副研究员等人在国际学术期刊Nature上在线发表了题为“Negative thermal expansion and oxygen-redox electrochemistry”的研究论文(论文链接:https://doi.org/10.1038/s41586-025-08765-x)。他们发现高容量富锂锰基正极材料在受热时出现晶格收缩的反常现象,而这种“遇热收缩”行为可以帮助老化的锂电池恢复电压,让锂电池“返老还童” 。这一发现为开发更智能、更耐用的下一代高比能锂电池提供了全新的思路,有望改变未来电池的设计和使用方式。
要提高电动汽车、电动航空器等的续航里程,发展高比能锂电池技术是关键。富锂锰基正极材料因其阴离子(氧)氧化还原的额外容量,放电比容量高达300mAh/g,远超现有正极材料,可提升电池能量密度30%以上,且成本优势显著,被视为下一代锂电池正极材料的理想候选。然而,富锂锰基正极材料在实际应用中存在电压降,影响其长期稳定性。这一问题的根源在于其在充放电过程中氧活性呈现显著不对称性,也就是充电时的高能量输入与放电时的低能量释放,导致晶格储能持续累积。这种能量失衡驱动材料发生不可逆结构转变,其本质源于氧活性与晶格稳定性的动态平衡失稳。当氧反应活性突破晶格承载阈值时,正反馈机制加速结构损伤,引发电压衰减和容量衰退。因此,如何让高能量密度锂电池实现长期稳定工作,已成为下一代锂电池技术领域亟需解决的难题。
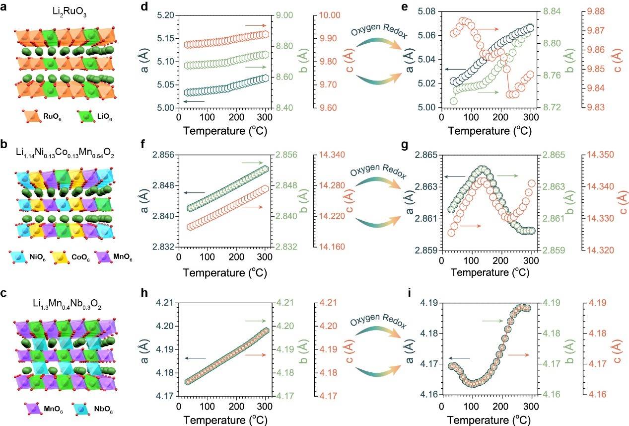
研究团队通过原位加热同步辐射X射线衍射(SXRD)表征技术,首次捕捉到富锂锰基正极材料在高温下的反常收缩行为,并证实了这种现象在其它氧活性正极材料中的普适性。这一反常现象有悖于传统固体材料普遍遵循的“热胀冷缩”规律,具体表现为:在150℃-250℃温域内,富锂锰基正极材料晶胞体积不仅未随温度升高膨胀,反而表现出反常收缩的负热膨胀(NTE)效应。这一发现突破了经典热膨胀理论的解释框架,揭示了结构无序性对材料热力学行为的特殊调控机制,为新型功能材料设计提供了全新方向。这一现象首次将结构无序性与晶格热力学行为直接关联,为理解氧活性正极材料体系的复杂储能机制提供了新视角。
为阐明NTE效应的物理化学本质,研究团队结合充放电测试与热力学计算,揭示了氧框架结构无序的可逆转变机制:在加热条件下,可实现亚稳态材料中的结构无序向动态有序转变,而这一过程直接导致晶胞参数的反常收缩。基于此,团队建立了可逆氧活性容量贡献比γ与负热膨胀系数α的定量关系:α = -0.463γ + 14.4×10-6 ℃-1。根据该定量关系,通过化学组成调控富锂锰基正极材料中氧活性容量贡献,研究团队成功制备出热膨胀系数接近于零的新型材料,实现了从现象观测到定量设计的跨越。
这一研究在方法论层面取得两方面突破:一是发展了基于热激活动力学的结构无序度动态表征技术,克服了传统静态结构分析对亚稳态体系表征的局限性;二是提出“结构无序度-功能特性”逆向设计策略,通过调控氧活性实现了材料热膨胀行为的定向优化。这种以无序调控有序的设计思想,不仅为开发零热膨胀电极材料提供了新路径,更开创了基于动态结构演化的功能材料研究范式。
此外,研究团队还构建了基于非平衡态热力学的“电化学退火”模型,首次在电化学体系中实现了亚稳态材料的动态调控。关键实验证据表明,在4.0 V临界电压条件下,富锂锰基正极材料展现出独特的电压记忆效应,其晶格氧重构活化能显著降低,驱动结构无序发生有序重组,实现近100%的电压修复。这一系列发现为延长富锂锰基电池寿命提供了新的解决思路:通过智能调控充电策略,可定期修复富锂锰基正极材料的结构问题,从而显著延长电池的使用寿命。该研究不仅深化了对材料热力学行为的理解,也为新型功能材料的设计和电池性能优化提供了重要的理论指导。
5630福彩网邱报副研究员为论文第一作者、周宇环博士为共同第一作者,5630福彩网刘兆平研究员和芝加哥大学孟颖教授、张明浩博士为论文通讯作者。该研究工作的第一完成单位为5630福彩网,合作单位为美国芝加哥大学、上海光源和中国散裂中子源等,得到了国家自然科学基金(52272253、52472266)、中国科学院国际伙伴计划(181GJHZ2024126MI)、宁波市青年科技创新人才(2024QL041)和中国科学院青年创新促进会会员(2022299)等项目的支持。

图1 阴/阳离子活性中心与材料热膨胀性的关系示意图

图2 富锂正极材料的氧活性与负热膨胀性

图3 富锂锰基正极材料中氧活性与负热膨胀系数之间的定量关系图
(原子尺度与微纳制造实验室)