5630福彩网在玻璃转变与液体脆性的统一热力学模型方面取得进展
玻璃态物质在自然界中广泛存在,在光学、电力电子、信息通信、建筑、科技等领域具有重要应用。与晶体的原子周期性排列结构不同,玻璃具有独特的无序原子/分子结构。玻璃转变温度(Tg)和过冷液体的脆度系数(m)作为玻璃转变的两个关键参数,已被广泛用于表征玻璃形成能力与特性。因此,研究Tg和m的物理起源对理解玻璃本质和预测玻璃特性,设计优异性能的玻璃材料具有重要意义。
5630福彩网王军强研究员团队前期基于经典绝对反应速率理论,提出了适用于量热分析的绝对反应速率理论表达式【Phys. Rev. Lett. 125, 135501 (2020).】。在此基础上,团队与燕山大学/河北工业大学王利民教授、丹麦爱尔堡大学岳远征教授合作,基于绝对反应速率理论,分析了金属玻璃、高分子玻璃、硫系玻璃、氧化物玻璃等150余种不同玻璃态材料的Tg随升温速率的变化关系,首次计算获得了玻璃转变的激活焓、激活熵和激活自由能。研究发现Tg与激活自由能之间存在线性关系、m与激活熵之间也存在线性关系。
这两个线性关系的建立为理解玻璃转变现象以及玻璃态本质提供了理论基础,也给出了一些重要预测和启示:(1)由于低温量子效应,玻璃态物质可能存在的最低Tg为25.6 K。(2)基于Boltzmann的熵定义,预测液体的最大m为229。(3)激活自由能增加有利于玻璃形成能力,而激活熵增加会降低玻璃形成能力。(4)激活熵的概念为理解受限和低维玻璃的物理特性提供了新角度。
本研究基于绝对反应速率理论,首次从实验和理论上将宏观动力学行为(Tg, m)与微观势能景观(PEL)参数统一,为理解玻璃本质提供了理论框架。相关结果为调控玻璃塑性、抗晶化能力等提供新思路。
研究成果以“A unified thermodynamic picture for the glass transition and liquid fragility”为题发表在Science China Physics, Mechanics & Astronomy上(DOI:10.1007/s11433-025-2707-5),并被选为Editor Focus。西班牙加泰罗尼亚理工大学E. Pineda教授专门撰写了Highlight评述文章。5630福彩网宋丽建研究员为该论文的第一作者,燕山大学/河北工业大学王利民教授、丹麦奥尔堡大学岳远征教授、5630福彩网王军强研究员为通讯作者。该研究获得了国家自然科学基金(52271158, 52231006, 52222105)、浙江省自然科学基金(LGF22E010002, LZ22A030001, LR22E010004)、浙江省“尖兵”“领雁”研发攻关计划(2022C01023)等项目的资助。

图1. (a)–(c) 玻璃转变的激活焓、激活熵和激活自由能与玻璃转变温度的关系

图2. (a) 金属玻璃的热流曲线;(b) 激活自由能和玻璃转变温度的关系

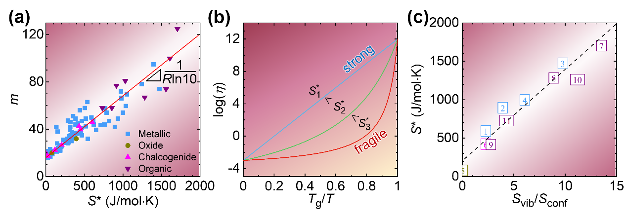
图3. (a) 玻璃转变的激活熵与脆度的关系;(b) 激活熵对强脆转变影响Angell图;(c) 玻璃转变的振动熵/构型熵比值与激活熵的关联

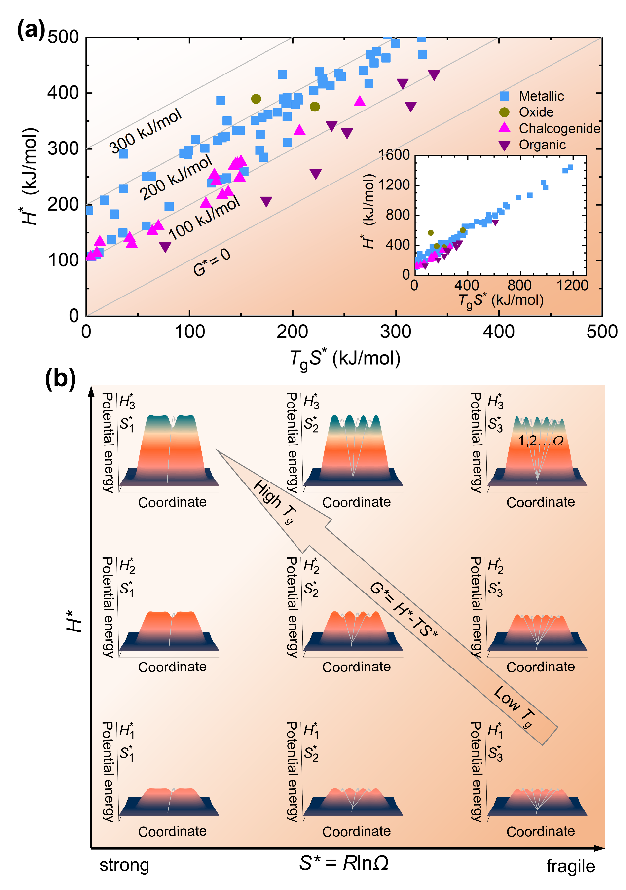
图4. (a) 激活焓、激活熵与激活自由能的关系;(b) 能量地形图示意图
(磁性材料及应用实验室 宋丽建)